產品中心
農殘、獸藥及化肥類
|
產品編號 |
英文名稱 |
CAS號 |
包裝 |
|
Y1736 |
Empenthrin |
54406-48-3 |
可根據客戶要求訂制 |
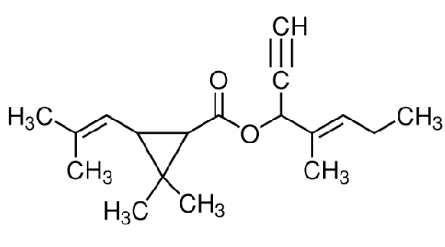
產品編號:Y1736
英文名稱:Empenthrin
CAS號: 54406-48-3
分析標準品,97%
分子式 C18H26O2 分子量274.40

基本信息:
產品介紹 幾乎不溶于水,可溶于己烷、二甲苯、乙醇和脫臭煤油中。
別名 烯炔菊酯 ;右旋反式炔戊菊酯, 烯炔菊酯,右旋-反式-2,2-二甲基-3-(2-甲基-1-丙烯基)環丙烷羧酸 (E)-1-乙炔基-2-甲基-戊-2-烯基酯;1-Ethinyl-2-methyl-2-penten-1-yl chrysanthemate
應用 在常溫下具有很高的蒸汽壓,對昆蟲有快速擊倒、熏殺和驅避作用。對谷蛾科的殺傷力與敵敵畏相當,且對多種皮蠹科甲蟲有突出的阻止取食作用。
- 上一條:氰戊菊酯
- 下一條:丙酮中乙嘧硫磷標準溶液
